各会员单位:
中国证监会(证监函〔2018〕294号)已正式批准中国金融期货交易所上市2年期国债期货合约。现将2年期国债期货合约上市交易有关事项通知如下:
一、上市交易时间
2年期国债期货合约自2018年8月17日(星期五)起上市交易。
二、上市交易合约和挂盘基准价
2年期国债期货首批上市合约为2018年12月(TS1812)、2019年3月(TS1903)和2019年6月(TS1906)。各合约挂盘基准价由交易所在合约上市交易前一交易日公布。
三、交易保证金和涨跌停板幅度
2年期国债期货各合约的交易保证金为合约价值的0.5%,自交割月份之前的两个交易日结算时起,交易保证金标准为合约价值的1%。对2年期国债期货、5年期国债期货和10年期国债期货的跨品种双向持仓,按照交易保证金单边较大者收取交易保证金。上市当日各合约的涨跌停板幅度为挂盘基准价的±1%。
四、相关费用
2年期国债期货合约的手续费标准暂定为每手3元,平今仓交易免收手续费,交割手续费标准为每手5元。交易所有权根据市场运行情况对手续费标准进行调整。
五、交易指令每次最大下单数量
2年期国债期货各合约限价指令每次最大下单数量为50手,市价指令每次最大下单数量为30手。
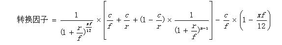
六、可交割国债、转换因子及应计利息
2年期国债期货各合约的可交割国债和转换因子由交易所在合约上市交易前公布。其转换因子计算公式如下:
其中,r:2年期国债期货合约票面利率3%;
x:交割月到下一付息月的月份数;
n:剩余付息次数;
c:可交割国债的票面利率;
f:可交割国债每年的付息次数。
计算结果四舍五入至小数点后4位。
其应计利息的日计数基准为“实际天数/实际天数”,即每100元可交割国债的应计利息计算公式如下:
计算结果四舍五入至小数点后7位。
2年期国债期货合约上市交易其他事项另行公布。
各会员单位要认真做好2年期国债期货合约上市交易的各项准备工作,严格控制市场风险,确保国债期货平稳推出和安全运行。
特此通知。
中国金融期货交易所
2018年8月7日
